Skip to main content
Ctrl
+
K
UC Irvine, Math 173A, Summer Session I 2023
Labs
Lab 0 - Math 173A
Lab 1 - Math 173A
Lab 2 - Math 173A
Lab 3 - Math 173A
Lab 4 - Math 173A
Lab 5 - Math 173A
Lecture notebooks
Week 1 Monday
Week 1 Wednesday
Week 1 Friday
Week 2 Monday
Week 2 Wednesday
Key Exchange Space
Week 2 Friday
Week 3 Monday
Week 3 Wednesday
Week 3 Friday
Week 4 Monday
Week 4 Wednesday
Week 4 Friday
Week 5 Monday
Week 5 Wednesday
Week 5 Friday
Optional: Difference of Squares Implementation
Week 6 Monday
Week 6 Wednesday
.ipynb
.pdf
Week 3 Friday
Contents
Screenshare notes
Deepnote notebook
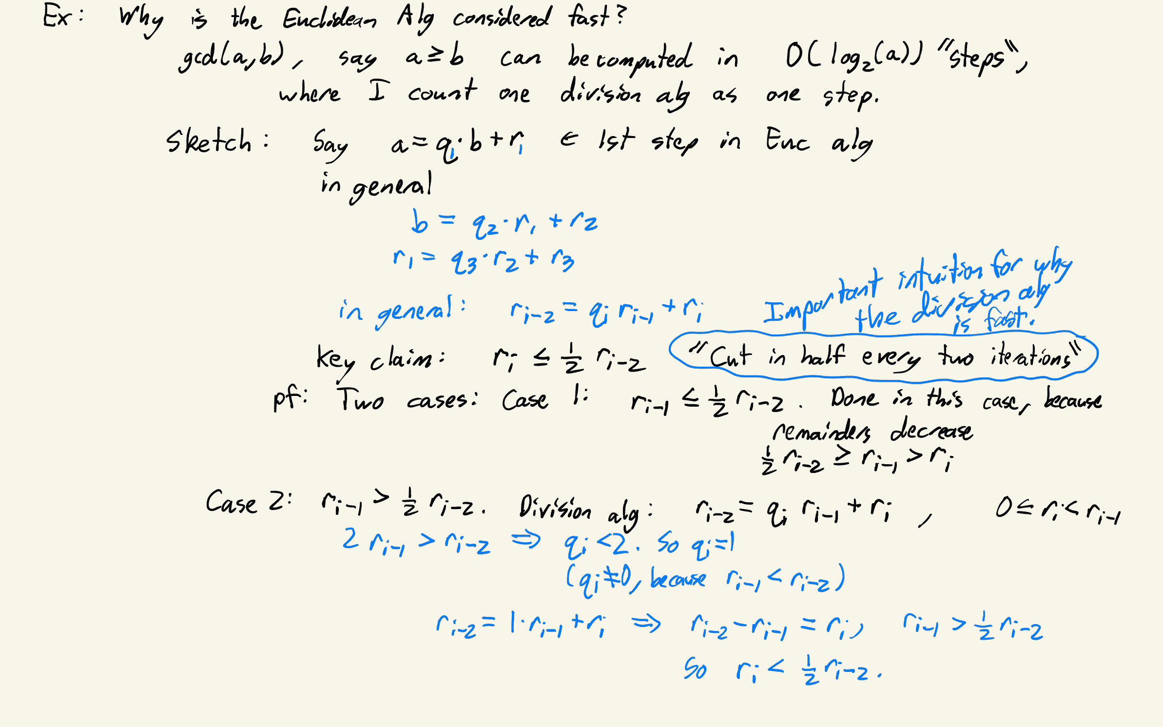
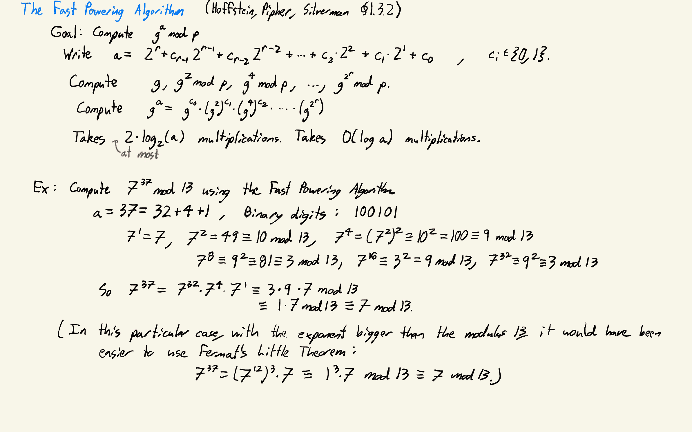
Week 3 Friday
#
Screenshare notes
#
Deepnote notebook
#
No notebook this class.
Contents
Screenshare notes
Deepnote notebook