Week 3 Wednesday#
Deepnote notebook#
# I learned we can use `from sympy` instead of `from sympy.ntheory`.
from sympy import n_order, nextprime, isprime
p = 23
n_order(7, p)
22
g = 7
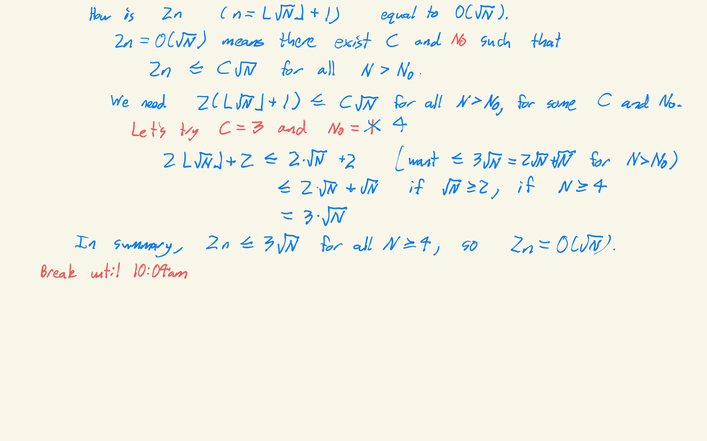
from numpy import sqrt, floor
n = floor(sqrt(p-1)) + 1
type(n)
numpy.float64
# I'll eventually need an integer, convert to an integer using `int`
n = floor(sqrt(p-1)) + 1
n = int(n)
type(n)
int
a = 17
A = pow(g, a, p)
A
19
Goal: compute the discrete logarithm of A = 19 to the base g = 7.
n
5
# would be more efficient to just multiply by g at each step
baby_list = []
for i in range(n+1):
baby_list.append(pow(g, i, p))
baby_list
[1, 7, 3, 21, 9, 17]
Want \([A, Ag^{-n}, Ag^{-2n}, ...]\)
# Mistake: we didn't reduce the giant list elements mod p after multiplying
giant_list = []
for j in range(n+1):
giant_list.append(A*pow(g, -j*n, p))
giant_list
[19, 361, 304, 95, 57, 209]
giant_list = []
for j in range(n+1):
giant_list.append((A*pow(g, -j*n, p))%p)
giant_list
[19, 16, 5, 3, 11, 2]
baby_list
[1, 7, 3, 21, 9, 17]
3 is the intersection (the collision). This corresponds to index 2 in baby_list and index 3 in giant_list.
j = giant_list.index(3)
j
3
i = baby_list.index(3)
i
2
In our notation from the collision algorithm description, \(i = 2\) and \(j = 3\).
x = i + n*j
x
17
a
17
# Efficient way to find an intersection/collision between these two lists
# Credit ChatGPT:
set(baby_list) & set(giant_list)
{3}




